News
新闻中心
当前位置:
口服氨甲环酸的双重好处:减少黄褐斑的严重程度和炎症
来源: | 作者:meiflow | 发布时间: 2025-06-20 | 133 次浏览 | 🔊 点击朗读正文 ❚❚ | 分享到:

减少黄褐斑

严重程度~炎症

口服氨甲环酸的双重好处

1

黄褐斑困扰?这项研究带来新希望

黄褐斑是一种常见的色素沉着障碍,表现为面部不规则的黑斑,多发于育龄女性。它不仅影响美观,还会给患者带来心理压力和社会困扰。近期,一项发表在《JournalofCosmeticDermatology》上的研究揭示了口服氨甲环酸(TXA)在治疗黄褐斑中的双重功效——不仅能显著改善黄褐斑的严重程度,还能调节全身炎症反应。

研究亮点

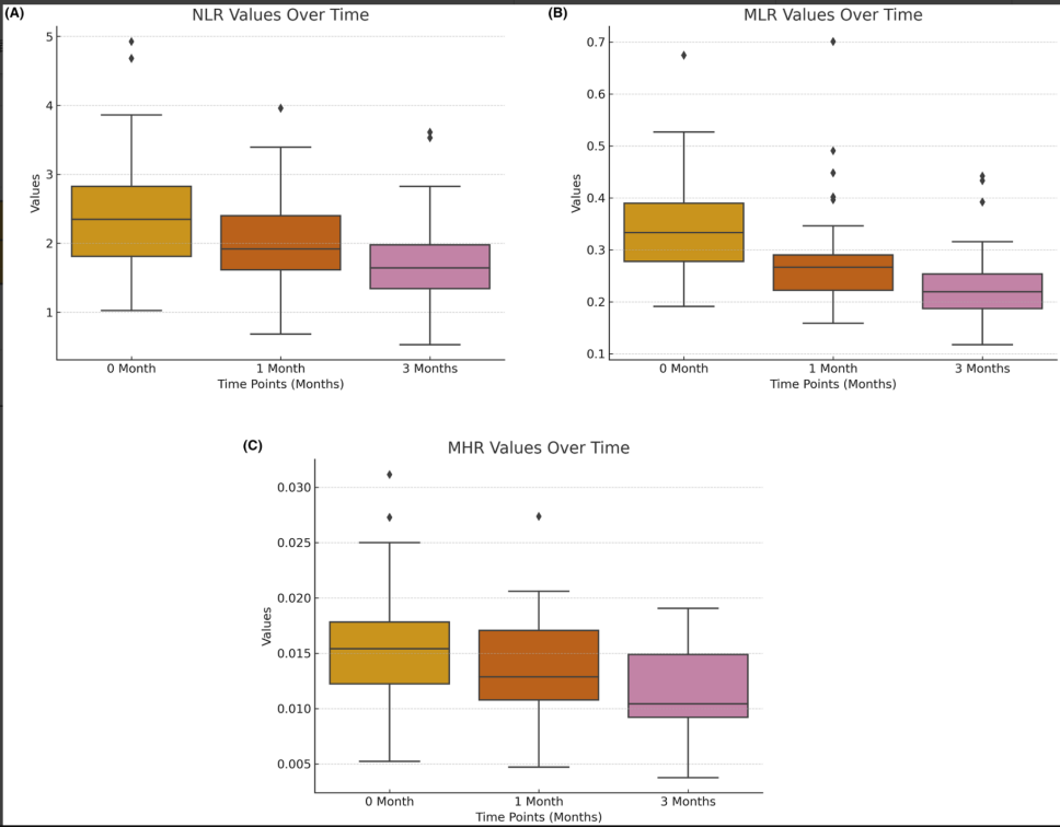
这项回顾性研究纳入了80名黄褐斑患者和80名健康对照者。患者每天口服500mg氨甲环酸,持续3个月。研究通过黄褐斑面积和严重程度指数(MASI)评估疗效,并检测了炎症标志物(单核细胞、中性粒细胞、淋巴细胞、HDL、MHR、MLR、NLR)的变化。血液黏稠主要原因就是体内缺水。夜间失水最为严重,血小板凝聚力与黏附力加强,因而清晨是脑血栓的发病高峰。

主要发现

1

黄褐斑显著改善

3个月后,患者的MASI评分降低了65.1%(从12.9降至4.5,p<0.001)。

2

炎症标志物变化

单核细胞、中性粒细胞、MHR、MLR和NLR水平显著下降,而HDL和淋巴细胞水平上升(p<0.001)。

3

预测指标

NLR和HDL的变化与黄褐斑改善程度显著相关,可作为治疗效果的潜在生物标志物。

为什么氨甲环酸有效?

氨甲环酸是一种纤溶酶抑制剂,通过以下机制发挥作用:

1

抑制黑色素生成

减少纤维母细胞生长因子和肥大细胞增殖,从而降低紫外线诱导的黑色素细胞活化。

2

抑制血管生成

调节血管内皮生长因子(VEGF)和内皮素-1水平,改善血管稳定性。

3

抗炎作用

抑制肥大细胞活化和成纤维细胞衍生的生长因子来调节炎症。

安全性与适用性

研究中仅7名患者报告了轻微副作用(6例头痛,1例恶心),表明氨甲环酸总体安全性良好。不过,孕妇、哺乳期女性及有血栓风险的患者需谨慎使用。

专家建议

这项研究为黄褐斑治疗提供了新思路:氨甲环酸不仅改善色素沉着,还能调节全身炎症。未来,NLR和HDL可能成为监测治疗效果的实用指标。如果你长期受黄褐斑困扰,可以考虑用氨甲环酸治疗。

参考文献:Demirbas A, Ulutas Demirbas G, Diremsizoglu E, Esen M. Dual Benefits of Oral Tranexamic Acid: Reducing Melasma Severity and Inflammation. J Cosmet Dermatol. 2025 May;24(5):e70257. 

美芙泰-黄褐斑治疗专家

关注我们·获取更多资讯